Журнал теоретической диалектики-физики-математики http://www.dialectical-physics.org
Главная
Главная страница журнала
Содержание выпуска B-02
Содержание выпуска [B-02]
E-mail автора
E-mail (Леонид Георгиевич Крейдик): info@dialectical-physics.org
Назад
Предыдущая страница
Вперед
Следующая страница

4. Описание системы материальных точек

Л. Г. Крейдик

4.1. Центр масс системы

Все перечисленные выше параметры движения-покоя относятся к одной материальной точке и описывают лишь абсолютное перемещение с точностью до первого слагаемого. Однако при описании системы материальных точек наряду с абсолютным движением-покоем имеет место относительное движение-покой и перемещение системы носит противоречивый абсолютно-относительный характер. Поэтому следует ввести абсолютно-относительные параметры движения-покоя, используя в качестве реперной точки центр масс системы.

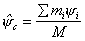
Центр масс это общая, средняя, коллективная точка движения-покоя системы:

где . (2.44)

 

4.2. Вектор конфигурации материальной точки - парциальный вектор системы

Определим вектор абсолютно-относительного положения или конфигурации произвольной материальной точки системы согласно равенству:

, (2.45)

где , , и - разные обозначения одного и того же абсолютного положения или перемещения точки:

. (2.46)

Второе слагаемое выражает относительное положение или перемещение точки:

. (2.47)

Сам вектор абсолютно-относительного положения i-ой материальной точки будем называть парциальным вектором системы.

Как следует из определения (2.47), парциальный вектор системы равен вектору конфигурации центра масс:

. (2.48)

Вектор относительной конфигурации i-ой материальной точки выражает ее положения относительно всех материальных точек системы:

, (2.49)

где коэффициенты равны:

. (2.50)

Эти коэффициенты называем относительными массами.

Составляющие вектора относительной конфигурации

(2.51)

- относительные конфигурации i-той и k-той точек.

 

4.3. Матрица полной конфигурации

Введенные понятия позволяют абсолютно-относительную конфигурацию системы выразить матрицей конфигурации:

. (2.52)

След матрицы, равный сумме ее диагональных элементов, определяет абсолютную конфигурацию системы:

. (2.53)

Недиагональные элементы матрицы, симметричные относительно диагонали, равные по величине и противоположные по знаку, определяют относительную конфигурацию системы, а строки описывают абсолютно-относительную конфигурацию точек. - матрице соответствуют две более глубокие матрицы:

, (2.54)

4.4. Векторы состояния материальных точек системы

Введем вектор абсолютно-относительного состояния точки:

, (2.55)

где вектор абсолютного состояния

(2.56)

и вектор относительного состояния

. (2.57)

Вектор, равный произведению массы произвольной материальной точки системы на вектор положения центра масс системы, называем парциальным вектором абсолютно-относительного состояния системы. Как следует из определения, вектор абсолютно-относительного состояния i-ой материальной точки равен парциальному вектору состояния системы:

. (2.58)

Сумма всех парциальных состояний системы определяет состояние системы в целом:

. (2.59)

 

4.5. Матрица состояния системы

Состояние системы удобно описывать матрицей ее состояния:

, (2.60)

где - диагональные элементы абсолютного состояния. След матрицы равен абсолютному состоянию системы , вектор относительного состояния равен нулю. И вектор состояния системы равен ее абсолютному вектору состояния:

. (2.61)

Это естественный результат: система, взятая сама по себе, безотносительна и ее относительное состояние равно нулю.

4.6. Импульсы материальных точек и системы

Производная абсолютно-относительного состояния i-ой материальной точки определяет ее абсолютно-относительный импульс

, (2.62)

где

(2.63)

- абсолютный импульс i-ой материальной точки, и

(2.64)

- относительный импульс i-той материальной точки.

Полный импульс материальной точки равен парциальному импульсу системы:

. (2.65)

Сумма парциальных импульсов системы определяет импульс системы:

. (2.66)

Матричная форма импульса системы аналогична вышеприведенным матрицам:

. (2.67)

4.7 Кинема системы

Производная абсолютно-относительного импульса i-ой материальной точки определяет ее абсолютно-относительную кинему

, (2.68)

равную парциальной кинеме системы:

. (2.69)

Сумма парциальных кинем системы равна кинеме системы:

. (2.70)

Производная от матрицы импульса системы приводит нас к матрице кинемы

(2.71)

 

4.8. Мобилита системы

Производная абсолютно-относительной кинемы i-ой материальной точки определяет ее абсолютно-относительную мобилиту:

; (2.72)

она равна парциальной мобилите системы

. (2.73)

Сумма парциальных мобилит системы равна мобилите системы:

, (2.74)

которая также может быть представлена в матричной форме.

4.9. Меры энергий системы

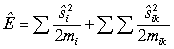
Рассмотрим абсолютно-относительную энергию системы на -уровне, определяя ее равенством:

(2.75)

Выделяя абсолютную и относительную части энергии, получим:

, (2.76)

где абсолютная составляющая энергии

, (2.77)

и относительная составляющая

. (2.78)

Относительное движение есть отрицание абсолютного движения, поэтому мерой относительной скорости может служить также величина

, (2.79)

с ней связан относительный импульс

. (2.80)

Опираясь на эту форму относительного импульса, перепишем выражение энергии в виде

(2.81)

или

. (2.82)

Матричная форма записи абсолютно-относительной энергии имеет вид:

(2.83)

Матрица абсолютно-относительной энергии - треугольная, след матрицы определяет абсолютную составляющую энергии, а сумма всех недиагональных элементов равна относительной энергии системы. Полная абсолютно-относительная энергия системы равна сумме всех элементов матрицы или, как мы будем говорить, полному следу матрицы, который обозначаем с заглавной буквы

(2.84)

Таким образом, будем различать полный след матрицы и частный или диагональный след.

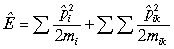
Аналогично определяются энергии системы других уровней (см.(2.41),(2.75) и (2.76)). В частности, энергия -уровня имеет вид:

. (2.85)

Первые производные по времени от энергий системы равны абсолютно-относительным мощностям. В частности на - уровне движения-покоя имеем:

(2.86)

или в матричной форме

. (2.87)

В замкнутой системе, возможно взаимное превращение абсолютного и относительного движения, но полное движение при этом сохраняется.

 

4.10. Центр масс системы в абсолютно-относительном движении

Векторы абсолютно-относительного состояния всех точек системы определяют абсолютно-относительную структуру центра масс системы. Согласно (2.55) вектор абсолютно-относительного состояния i-ой материальной точки имеет вид

.

Принимая это во внимание, находим центр масс системы в абсолютно-относительном движении:

. (2.88)

Он определяет центр масс покоя, или нахождения (центр утверждения), системы в произвольной точке своей траектории, и центр масс движения, или ненахождения (центр отрицания) в той же точке траектории.

Абсолютная составляющая положения центра масс системы отражает его абсолютную потенциально-кинетическую грань покоя-движения, тогда как относительная составляющая описывает относительные потенциально-кинетические положения точек системы, поэтому конфигурационная матрица центра масс системы дает полную информацию о системе.

Сумма диагональных элементов матрицы определяет абсолютное положение центра масс, а недиагональные элементы определяют относительные положения точек и их общая сумма равна нулю, ибо относительные положения любых двух точек противоположны по знаку.


К началу страницы
Назад
Предыдущая страница
Вперед
Следующая страница

Copyright © Л.Г.Крейдик , 2001-2005