Журнал теоретической диалектики-физики-математики http://www.dialectical-physics.org
Главная
Главная страница журнала
Содержание выпуска B-02
Содержание выпуска [B-02]
E-mail автора
E-mail (Леонид Георгиевич Крейдик): info@dialectical-physics.org
Назад
Предыдущая страница
Вперед
Следующая страница

3. Структура уровней энергии покоя-движения

Л. Г. Крейдик

В физике можно выделить два весьма широких типа временных и пространственных дифференциалов состояния и обмена движением-покоем:

, ,

где - произвольные параметры покоя-движения и dt - дифференциал времени.

В первом дифференциальном равенстве параметр есть обобщенная мощность или скорость обмена покоем-движением на уровне параметра , который одновременно выражает неразрывную связь обмена и состояния покоя-движения; во втором равенстве произвольный параметр описывает неразрывную связь параметра обмена и состояния покоя-движения с произвольным пространством, в котором протекают описываемые явления.

Оппозиты образуют множество параметров, которое будем называть общим именем - множество временных энергий. Согласно этому определению такие параметры как импульс , кинема и другие есть временные энергии различных уровней обмена.

Соответственно оппозиты образуют множество параметров, которое будем называть общим именем - множество пространственных энергий. Согласно этому определению, кинетическая и потенциальные энергии есть пространственные энергии определенного уровня обмена.

Определим теперь продольную (t ), поперечную (n), продольно-поперечную (t n) и полную (tot) пространственную энергию любого уровня покоя-движения в соответствие с формулой:

, (2.40)

где - указатель типа скалярного произведения, а и - типы параметров.

Согласно определению (2.40), потенциально-кинетические энергии уровней , , , и в пространстве гармонических смещений соответственно равны

, , , . (2.41)

Классическая физика, в том числе и современная, оперирует явно -уровнем энергии и неявно -уровнем в форме действия. Однако эти уровни описываются не полно, а понятия других уровней энергии отсутствуют.

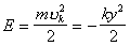
Ознакомимся со структурой энергии -уровня:

или (2.42)

Каждый уровень энергии, в том числе и -уровень, имеет четыре подуровня:

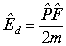
а) уровень да-да - уровень кинетической энергии, определяемый кинетической скоростью или кинетическим смещением:

;

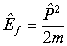
б) уровень нет-нет - уровень потенциальной энергии, определяемый потенциальной скоростью или потенциальным смещением:

;

в) уровень да-нет - уровень кинетико-потенциальной энергии, определяемый кинетической и потенциальной скоростью или кинетическим и потенциальным смещением:

;

г) уровень нет-да - уровень потенциально-кинетической энергии, определяемый теми же скоростями и смещениями:

.

Подуровни да-да и нет-нет симметрично противоположны. Противоположность выражается знаками: энергия да-да положительна, энергия нет-нет отрицательна. Подуровни да-нет и нет-да здесь равны.

Первые производные по времени от энергий есть мощности обмена для нижележащих уровней и параметры состояния для вышележащих. Они соответственно равны:

и , (2.43)

и .


К началу страницы
Назад
Предыдущая страница
Вперед
Следующая страница

Copyright © Л.Г.Крейдик , 2001-2005