Журнал теоретической диалектики-физики-математики http://www.dialectical-physics.org
Главная
Главная страница журнала
Содержание выпуска B-02
Содержание выпуска [B-02]
E-mail автора
E-mail (Леонид Георгиевич Крейдик): info@dialectical-physics.org
Назад
Предыдущая страница
Вперед
Следующая страница

5. Законы сохранения-несохранения обмена

Л. Г. Крейдик

5.1. Законы сохранения-несохранения

В диалектике законы сохранения не мыслимы без законов несохранения. В классической физике, следующей правилам Аристотеля, выражение “несохранение” заменяется словом “превращение” и создается иллюзия существования лишь только закона сохранения. В самом деле, “превращение” означает, что имеет место изменение произвольного объекта и процесса, которые непрерывно и дискретно переходят в иные состояния.

Во Вселенной все, сохраняясь, не сохраняется, и, не сохраняясь, сохраняется. Такова суть закона сохранения-несохранения. Поэтому в диалектике закон сохранения-несохранения относиться к любому параметру обмена и состояния.

Все изменения связаны с обменом материей-пространством-временем. Понятие обмена шире понятия взаимодействия, которое выражает лишь какую-то одну сторону обмена. При идеальном обмене происходит обмен, главным образом, покоем-движением, т.е. имеет место потенциально-кинетический обмен; при материальном обмене протекает еще и обмен материей-пространством.

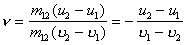
5.2. Сохранение-несохранение в системе двух материальных точек

Рассмотрим сохранение-несохранение в системе двух материальных точек. Такая система характеризуется абсолютно-относительным движением-покоем. Для двух разных состояний системы закон сохранения-несохранения имеет вид:

. (2.89)

В левую часть равенства входит состояние системы до обмена. В правой части находится состояние системы после обмена и несохраненная мера , которая выражает превращенную часть состояния системы.

На уровне импульсов и энергий закон сохранения-несохранения имеет аналогичный вид:

, , (2.90)

где и , и - импульсы и энергии до и после обмена, и - изменения импульса и энергии, вызванные обменом движением-покоем с окружающей средой. Обычно изменения положительны и выражают рассеяние движения-покоя в окружающую среду. Это рассеяние трансформируется в движение-покой на микроуровне. Если изменения отрицательны, протекает обратный процесс обмена с переходом движения-покоя с микроуровня на макроуровень.

Энергии системы двух точек, описывающие абсолютно-относительное движение-покой до и после обмена и его превращение, равны

,

-------, (2.91)

и

, где и .

 

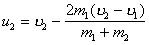
5.3. Законы сохранения-несохранения при дискретном, импульсном обмене

(центральный удар)

Если в данной системе совершается непрерывно обмен покоем-движением между материальными точками и длительность обмена бесконечно мала, потери энергии стремятся к нулю.

При дискретном обмене, носящем импульсный характер, потери энергии макроуровня могут значительно отличаться от нуля.

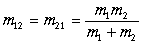
Простейшая реализация дискретного обмена - центральный удар. Сохранение-несохранение импульса при центральном ударе имеет вид:

, , (2.92)

где относительные массы m12 и m21 определяются формулой (2.50):

.

Так как суммы относительных импульсов равны нулю, то

. (2.93)

Если потерями Pr можно пренебречь, тогда

. (2.94)

В этом случае парциальный импульс первой материальной точки системы сохраняется:

. (2.95)

Введем отношение относительных импульсов

(2.96)

и преобразуем равенство (2.95) к виду:

.------

Подобное равенство имеет место и для второй точки системы:

.-------

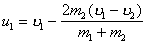
Отсюда получаем классические формулы скоростей после удара:

, (2.97)

. (2.98)

Центральный удар называем абсолютно-упругим, если относительные импульсы до удара и после удара равны по величине и противоположны по знаку. В этом случае и

, . (2.99)

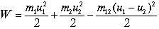
Так как рассматривается удар без потерь, имеет место и закон сохранения абсолютно-относительной энергии до удара и после удара:

или

. (2.100)

Первые два слагаемых слева и справа от знака равенства - абсолютные кинетические энергии, третьи отрицательные слагаемые - относительные энергии.

 

Рис.2.1 Диаграммы закона сохранения при а) абсолютно-упругом ударе и b) абсолютно-неупругом ударе; Ea , Wa - абсолютная энергии, Ev и Wv - относительные энергии и E и W - полная абсолютно-относительная энергии до и после обмена.

При абсолютно-упругом ударе также раздельно сохраняются абсолютная Ea и относительная Ev энергии. Полученные результаты удобно представлять энергетической диаграммой обмена (Рис.2.1а).

Центральный удар называем абсолютно-неупругим, если относительные импульсы после удара равны нулю (). После такого удара относительная энергия обращается в ноль. На величину исчезнувшей относительной энергии уменьшается абсолютная энергия, однако, знаки энергий противоположны, поэтому полная энергия системы сохраняется:

или

--------- . (2.101)

Следует подчеркнуть, величина полной исчезнувшей энергии равна нулю. Разумеется, исчезнувшая абсолютная и относительная составляющие полной энергии не исчезли, ибо, исчезнув на макроуровне, они возникают на микроуровне в форме кинетической и потенциальной энергии.

Очевидно, на микроуровне величина появившейся полной энергии также равна нулю. Процесс трансформации движения-покоя не заканчивается атомарно-молекулярным уровнем: частично движение-покой переходит на субатомный уровень, продолжая свое движение дальше в глубь мироздания через бесконечный ряд уровней Вселенной.

В общем случае центральный удар носит упруго-неупругий характер, т.е. является противоречивым дискретно-кретным обменом, диаграммы энергий которого представлены на рис.2.2.

Рис.2.2 Диаграммы закона сохранения-несохранения энергии при упруго-неупругом ударе если а) и b) .

Если в системе с любым числом материальных точек исчезает относительное движение, недиагональные элементы обращаются в ноль, а диагональные элементы становятся противоречивыми, потенциально-кинетическими. В частности, матрица импульсов принимает вид:

. (2.102)

Это естественно, диагональная матрица описывает абсолютную грань природы и сумма диагональных элементов сохраняется, если отсутствуют превращения.


К началу страницы
Назад
Предыдущая страница
Вперед
Следующая страница

Copyright © Л.Г.Крейдик , 2001-2005