Журнал теоретической диалектики-физики-математики http://www.dialectical-physics.org
Главная
Главная страница журнала
Содержание выпуска A-02
Содержание выпуска [A-02]
E-mail автора
E-mail (Леонид Георгиевич Крейдик): info@dialectical-physics.org
Назад
Предыдущая страница
Вперед
Следующая страница

6. Неверная форма закона Кулона и псевдозаряды электромагнетизма. Неверная форма закона гравитации и теория гравитационной постоянной

Л. Г. Крейдик

Рассмотрев в общих чертах на элементарном уровне некоторые формы представления всеобщего закона обмена материей-пространством-покоем-движением, докажем теперь важную теорему, которая относится к закону Кулона. Она тесно связана с аксиомой базисного и метрического грамма:

Аксиома. Единица количества массы субатомного уровня грамм базиса и метрический грамм g одна и та же относительная мера единицы массы.

Теорема 1. Закон Кулона есть искаженная форма представления центральной формы всеобщего закона обмена материей-пространством-покоем-движением.

Доказательство на основании всеобщего закона обмена.

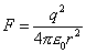
Исторически эмпирический закон Кулона был представлен первоначальной формой вида

. (6.1)

В ней на субатомном уровне принято формально . В частности, взаимообмен с окружающим полем, равносильный обмену двух равных зарядов , имеет вид:

. (6.1а)

Такая форма отрицает сферический характер обмена, и, следовательно, независимо от понимания природы взаимодействия она неправильна. На это еще указывал Хевисайд, но в результате жесткой борьбы его идеи были отвергнуты - решения первого Международного конгресса электриков в 1881 г. и авторитет Максвелла были непререкаемы. Ложь победила правду - такое имеет место нередко в науке.

Наука не только храм истинных знаний, но и истинно-ложных, ложно-истинных и просто ложных, ибо является естественным продолжением жизни со всеми ее плюсами и минусами.

Псевдоформа закона Кулона (6.1а) вытекает из закона обмена (5.17), если выполнить следующие формальные преобразования объективной формы центрального обмена:

, (6.2)

где

(6.)

- кулоновский псевдозаряд с псевдоразмерностью:

. (6.2b)

Таким образом, из закона центрального волнового обмена материей-пространством-покоем-движением следует псевдоформа закона Кулона с псевдомерами зарядов:

. (6.2с)

Ложность подобных форм заключается в том, что выполнены формальные математические преобразования, нарушающие фундаментальный закон сравнения, и переводной коэффициент в формуле (6.2а)

(6.3)

есть псевдокоэффициент, измеряемый в псевдоединицах:

. (6.3а)

Нет в природе объектов, меры которых представляются единицами и - это невероятное искажение законов природы и закона познания (3.10).

Псевдомеры заряда и переводной множитель (6.3) представляют собой реализованную в физике теорию агностицизма, и ни один гений на земле не покажет никому таких объектов-мифов в природе.

Субъективизм философский, математический и физический полагает, что мир субъективная реальность, и каждый представитель субъективизма может "свободно играть с понятиями", нарушая законы природы. Конечно, предъявлять претензии Кулону нельзя - это не его вина, а вина формальных построений многих. В XIX в. еще оперировали электрической жидкостью и могли избежать показателей дробных степеней реперных единиц.

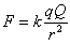
И, наконец, желая создать видимость сферического характера центрального обмена, формалисты стала писать закон Кулона в виде

, (6.4)

где так называемая "электрическая постоянная вакуума" так закутана в тряпки псевдоединиц SI, что сама мать родная метафизика уже не в состоянии разглядеть в ней дитя абсурда субъективизма.

Доказательство на основании закона сравнения.

Закон Кулона общего вида (6.1) содержит параметр k, который выражает характер и геометрию поля обмена, поэтому полагать его по собственному желанию равным числовой единице есть самодовольный субъективизм, который, к сожалению, под разными вывесками продолжает существовать и сегодня в науке.

Выясним структуру коэффициента k. В силу сферической структуры поля положим , где - некоторый неизвестный множитель, тогда получим

. (6.5)

Согласно закону сравнения любая производная величина есть мультипликативное образование целых степеней реперных единиц, поэтому формулу размерности заряда q можно представить так:

. (6.6)

Размерности мер силы-кинемы и расстояния соответственно равны

, . (6.7)

Сравнивая размерности левой и правой части закона (6.5) и учитывая равенства (6.6) и (6.7), приходим к выводу, что коэффициент должен содержать в отрицательной степени и иметь вид , где новая константа, поэтому

. (6.8)

Если теперь предположить, что константа не зависит от мер длины и времени, на что косвенно указывают эксперименты Кулона, то она, скорее всего, величина нулевой размерности, т.е. числовой множитель, который можно принять равным единице, и тогда закон Кулона принимает форму:

. (6.9)

Выбор значения может лишь количественно изменять меру заряда, что легко установить на основании других методов, не связанных непосредственно с законом Кулона. Как показывает всесторонний анализ, данное равенство верно.

В итоге приходим к объективному закону Кулона для "электрических зарядов":

. (6.)

Опираясь на общую формулу меры заряда (6.6) и закон Кулона в форме (6.9а), находим показатели неизвестных степеней реперных мер, определяющих "электрический" заряд:

Þ , . (6.10)

В итоге находим объективную размерность "электрического заряда"

, (6.11)

единица которого на основе реперных мер равна

. (6.11а)

Еще одно доказательство справедливости формулы (6.9).

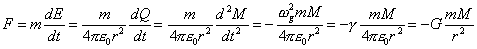
В центральном поле вектор скорости полевого обмена должен иметь вид

. (6.12)

И тогда кинема обмена, определяющая скорость массообмена, определяется выражением

. (6.13)

Таким образом, все логически неформальные дороги ведут нас к одному и тому же результату. Строго говоря, вектор в волновом поле величина переменная, поэтому следует еще форму массообмена (6.13) дополнить формулой обмена на элементарном уровне с некоторой характеристической частотой :

. (6.14)

где

(6.14а)

- постоянная правильной формы закона "гравитации":

. (6.15)

Она учитывает сферический характер "гравитации", и отличается от закона "всемирного тяготения" Ньютона, который представляется в псевдоформе:

, (6.15а)

где

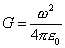
(6.16)

- гравитационная постоянная. Выражение (6.16) позволяет определить "гравитационную” частоту обмена сверхнизкой частоты

, (6.17)

если принять .

Таким образом, "гравитационное поле" есть волновое поле обмена сверхнизких частот. И это поле базиса. Об этом говорит ее волновое число и соответствующий волновой радиус, который одновременно есть и радиальная элементарная "гравитационная" волна

. (6.18)

Оболочка гравитационного радиуса в звездных системах, т.е. в сферических объектах Космоса, являющихся атомами галактик, разделяет колебательную область сферического поля-пространства звезды и ее волновую область. В этой области располагаются астероиды.

Итак, обмен на уровне микромира и мегамира описывается одним и тем же всеобщим законом обмена материей-пространством-покоем-движением.

á

Следствие

Псевдозакон Кулона определяет псевдомеру "электрического" заряда , заряда "янтарного", за которым скрывается волновая скорость обмена q:

, (6.12)

и

. (6.12а)


К началу страницы
Назад
Предыдущая страница
Вперед
Следующая страница

Copyright © Л.Г.Крейдик , 2001-2005