Журнал теоретической диалектики-физики-математики http://www.dialectical-physics.org
Главная
Главная страница журнала
Содержание выпуска A-02
Содержание выпуска [A-02]
E-mail автора
E-mail (Леонид Георгиевич Крейдик): info@dialectical-physics.org
Назад
Предыдущая страница
Вперед
Следующая страница

5. Диалектика центрального обмена и линии пространства

Л. Г. Крейдик

Всеобщий закон обмена позволяет рассматривать все физические поля, в том числе и "электростатическое поле", которое представляет собой лишь способ описания волнового материально-идеального поля материи-пространства-покоя-движения субатомного уровня эксачастотной области. Напоминаем, . Эту область продольно-поперечного потенциально-кинетического волнового поля материи-пространства-покоя-движения базиса условимся называть эксачастотным полем, которое, еще раз отметим, именуют "электростатическим полем", что буквально означает "янтарно-постоянное поле" - бессмысленность такого термина очевидна.

Приходиться удивляться метафизике, полагающей что те или иные объекты или явление природы можно называть случайными именами. И подобных примеров можно привести немало: например, "кварк", от которого веет лягушечьей квакающе-кваркающей физикой. Это уже не наука, а физико-математический декаданс: физика не должна повторять абстрактное "искусство", отражающее социально-психическое расстройство общества.

Например, мне больше нравиться держать в руках цветную картину, созданную случайными мазками дельфина в цирке. Если такую "картину" представить на выставке абстракционизма, и объявить, что она редкий шедевр такой-то знаменитости, то данная псевдокартина, стоимостью в один доллар, будет продана за сотни тысяч долларов. Подобного рода явления отражают духовный кризис духа современного общества - это социальная шизофрения.

Физике не следует оперировать кличками - в ней имя объекта обязано более или менее соответствовать его содержанию.

Продуманная номинация в науке есть отражение высокого научного профессионализма, случайные имена-клички - признак кустарной работы.

Конечно, когда не ясна природа содержания, сделать это трудно, но можно предложить номинацию общего характера, которая, по крайней мере, не даст нам заниматься "электромагнитными" волнами, или буквально "янтарно-магическими" волнами, несущимися, по Эйнштейну, в "пустом" математическом пространстве со скоростью света в форме несуществующих математических фотонов.

Рассмотрим некоторые элементарные формы описания центрального обмена.

Согласно (4.3b) и (4.3с) кинемы обмена имеют вид

. (5.1)

(5.2)

Опишем на элементарном уровне частный случай обмена сферического мотатора (элементарной частицы) материей-пространством-покоем-движением с окружающим полем базиса.

Пусть элементарная частица надстройки пребывает в состоянии абсолютного покоя, тогда кинема обмена вместе со своими составляющимися обращается в ноль. Совмещая начало системы координат с центром сферы мотатора, принимаем .

В состоянии абсолютного покоя между элементарной частицей и полем материи-пространства-покоя-движения имеет место обмен, который характеризуется отличной от нуля трехмерной скоростью обмена импульсом материи-пространства-покоя-движения через сферу частицы:

, (5.3)

где - скорость волновых пульсаций у сферической поверхности элементраной частицы, что отмечено индексом s, причем - радиальные потенциально-кинетические перемещения точек поверхности сферы относительно некоторой характеристической сферы частицы постоянного радиуса. В дальнейшем, ради простоты, индекс опускаем.

В выражении (5.3 ) трехмерная скорость обмена , или мощность обмена, или кинема, уже не вектор, а скаляр, так как описывает всесторонний обмен мотатора с окружающим полем базиса. И это еще раз показывает, насколько далеки друг от друга понятия "силы" в механике Ньютона и кинемы в диалектической физике. Трехмерна и скорость обмена , поэтому и она не вектор, а потенциально-кинетический скаляр, т.е. бинарное диалектическое потенциально-кинетическое число.

Направленность-ненаправленность, или векторность-скалярность, фундаментальное свойство всех параметров обмена, и в реальных процессах нередко направленность переходит в ненаправленность и наоборот, поэтому в диалектической физике без необходимости не имеет смысла выделять жирным шрифтом векторные свойства объектов описания, ибо они обычно носят векторно-скалярный характер.

У поверхности элементарной частицы дифференциал потенциально-кинетического массообмена определяется обменом пространства поля материи-пространства-покоя-движения субатомного уровня через поверхность сферы за время , в результате чего формируется потенциально-кинетический дифференциальный объем обмена пространством

, (5.4)

где - элементарная потенциально-кинетическая толщина сферического слоя обмена.

Он неотделим от дифференциала потенциально-кинетической массы обмена:

. (5.5)

Так как в базисе , то формула (5.5) выражают квантитативное тождество мер пространства и массы на уровне базиса.

В тот момент, когда скорость оказывается только потенциальной, массообмен будет также потенциальным, т.е. это обмен массой в состоянии покоя, и тогда она следует алгебре отрицания. Когда же кинетическая скорость максимальна, имеет место кинетический обмен массой, и она следует алгебре утверждения. Иными словами, в гармоническом обмене при точном описании масса обмена носит потенциально-кинетический характер и имеет вид:

. (5.6)

На основании формулы (5.5а) определяем скорость потенциально-кинетического обмена массой-пространством, которую будем также называть потенциально-кинетическим "зарядом" обмена или потоком обмена:

(5.7)

Заряд - всесторонняя скорость, и, значит, скалярная полевая величина. Учитывая формулу (5.6) имеем:

. (5.8)

Наряду с зарядом обмена важным параметром является ток обмена , или зарядовое ускорение обмена:

, (5.8а)

где - ускорение массообмена в волновом поле материи-пространства-покоя-движения.

На основании формул (5.8) и (5.8а) получаем соотношения между скоростью обмена и зарядом обмена, током и ускорением обмена:

, (5.9)

. (5.9а)

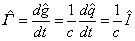
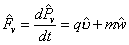
Вектор обмена (5.9) определяет кинематическую и динамическую напряженность обмена:

, . (5.9b)

Равенствам (5.3), (5.8) и (5.9) отвечают амплитудные соотношения:

. (5.10)

, (5.11)

. (5.12)

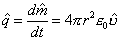
Формула (5.12) позволяет находить частоту обмена, если мы знаем заряд и массу обмена:

. (5.13)

Объединяя формулы (5.7) (5.9), запишем элементарный закон взаимообмена между элементарной частицей и окружающим полем материи-пространства-покоя-движения, когда элементарная частица пребывает в абсолютном покое, т.е. не движется в окружающем поле-пространстве:

. (5.14)

Кинема закона взаимообмена биполярная величина.

Закон взаимообмена, как можно показать, распространяется и на взаимообмен двух элементарных частиц с различными зарядами:

. (5.14а)

Заряд каждой элементарной частицы, как волновой параметр, характеризуется собственными начальными фазами колебаний и , которые, будучи разные по величине, противоположны по знаку, как противоположны по знаку парциальные действия и противодействия, отнесенные к одному из объектов обмена. Учитывая начальные фазы колебания, представим произведения зарядов в виде:

, (5.15)

где и - меры зарядов с нулевыми начальными фазами.

Если волновой обмен протекает с разностью фаз , тогда имеет

. (5.16)

При наложении двух волновых лучей обмена с разностью фаз наблюдается возрастание колебаний и происходит волновое расширение поля материи-пространства-покоя-движения, что выражается волновым отталкиванием.

При условии , когда , имеет место волновое притяжение

(5.16а)

В случае наложения двух когерентных волновых лучей обмена с данной разностью фаз наблюдается ослабление колебаний и происходит волновое сжатие поля материи-пространства-покоя-движения, что выражается волновым притяжении.

Ради простоты, закон центрального взаимообмена элементарной частицы с окружающим полем и взаимообмен двух элементраных частиц будем также записывать без указателя противоречивости их параметров и знаков характера обмена-взаимодействия:

. (5.17)

, (5.17а)

Закон центрального обмена элементарной частицы с окружающим полем можно представить также в форме скалярного потока кинемы сквозь сферическую поверхность обмена:

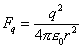
. (5.18)

Таким образом, поток кинемы взаимообмена элементарной частицы и поля сквозь сферу обмена пропорционален квадрату заряда обмена.

Выражение массообмена (5.10) можно выразить еще в виде

. (5.19)

Это означает, центральный обмен элементраной частицы с окружающим полем, одновременно равный поперечному обмену по круговой орбите радиуса r со скоростью u , определяется массой обмена материей-пространством-покоем-движением на субатомном уровне, причем дискретные компоненты обмена относятся к субсубатомному уровню. Такую массу кратко будем называть просто массой обмена элементарной частицы:

. (5.20)

Аналог массы обмена субатомного уровня в классической теории сплошных сред носит название присоединенной массы.

В частности, движение шара в поле материи-пространства-покоя-движения воды, мотаторы которой представляются молекулами , можно рассматривать происходящим в пустом математическом пространстве, если к массе шара присоединить дополнительную массу , равную половине массы воды в объеме шара [1, с. 456]:

. (5.21)

Представим теперь, что шар находится в покое, но его поверхность пульсирует. Такое движение равносильно движению шара вдоль всех трех осей координат в положительном и отрицательном направлениях. А это значит, что ему необходимо приписать шесть направлений движения, и, следовательно, присоединенная трехмерная масса шара будет определяться формулой:

. (5.22)

Как видим, эта масса по форме равна массе обмена элементарной частицы на уровне надстройки субатомного уровня. И это нас не должно удивлять, хотя различие процессов огромно: элементарная частица неотделима от базисного поля материи-пространства-времени и является микрогалактикой, тогда как шар в водном пространстве инородное тело.

Интересна и такая деталь: при равномерном движении тела произвольной формы, например, шара в пространстве идеальной жидкости, как показал Даламбер, тело не испытывает сопротивления, что означает равновесие взаимного обмена, т.е. фактические "действие" шара и "противодействие" полевого пространства жидкости оказываются равными.

Так как субатомный уровень материи-пространства-покоя-движения на многие порядки дисперснее, кретнее, т.е. невероятно малы объекты-мотаторы дискретности, то его можно рассматривать как идеальную полевую среду материи-пространства-покоя-движения.

В силу этого по Даламберу базисный уровень обладает такими свойствами идеальных материальных пространств, как сверхпроводимость, сверхтекучесть, а это все процессы обмена материей-пространством-покоем-движением, хотя, конечно, характер движения описываемый Даламбером отличается от волнового движения на субатомном уровне.

Свои теоретические выводы об отсутствии сопротивления Даламбер изложил в 1744 г. в "Трактате о равновесии и движении жидкостей". Как известно, его вывод получил названия парадокса Даламбера, ибо противоречил опыту. Однако, при естественных скоростях он, по-видимому, имеет место на субатомном уровне, и было бы исторической несправедливостью это замалчивать, делая вид, что явление сверхпроводимости и сверхтекучести не имеет отношение к парадоксу Даламбера на субатомном уровне.

Если формулы (5.17) и (5.19) описывают трехмерный обмен, они представляются двумя равносильными скалярными формами:

. (5.23)

Данные формы в теории Бора лежат в основе его постулатов и носят совершенно иной смысл, и это естественно, ибо между содержанием закона и его формой нет однозначной связи - содержание первично, а форма вторична по своему значению, хотя это не всегда так. С другой стороны, искажение формы закона ведет к искажению содержания закона, что порождает физические псевдовеличины и псевдомеры.

 

Рис.3. Линии обмена материей-пространством-покоем-движением; a) обмен между противоположными элементарными частицами +Da и -Da и b) обмен между элементарными частицами-тавтологами +Da и +Da.

Формула (5.23) определяет меру энергии обмена материей-пространством-покоем-движением, равную скалярному радиальному моменту кинемы обмена:

, (5.24)

где

(5.24а)

- потенциал обмена.

Волновой обмен материей-пространством-покоем-движением в классической физике принято изображать с помощью "силовых линий", или "линий напряженности" и т.д. (рис.3). Эти термины неверны, ибо нет в природе сил и соответствующих им параметров напряженности, но есть параметры обмена:

, , , . (5.25)

Так называемые "силовые линии" и "линии напряженности" есть на самом деле объективные физические линии реального пространства субатомного поля материи-пространства-покоя-движения, вдоль которых имеет место волновой обмен базисного уровня. С физическими линиями связывают некоторый скалярный или векторный параметр и его номинация переносится на имя линий обмена, отражающих реальные движения волнового пространства поля материи.

Важным параметром обмена является также линейная плотность полевой потенциально-кинетической массы обмена g вдоль волнового луча с базисной скоростью c:

, (5.26)

где - элемент волнового луча и - связанная с ним масса.

Скорость изменения линейной плотности массы обмена и величина тока обмена неотделимы друг от друга:

. (5.27)

Параметр - многогранная волновая величина: ее можно по аналогии с током обмена называть также током плотности массообмена, или просто током плотности обмена.

Пусть у самой поверхности сферы , тогда будем иметь:

. (5.28)

Если мгновенный обмен протекает в пределах полусферы, , выражение (5.28) принимает вид:

(5.28а)

В элементарном случае, когда радиус оболочки равен волновому радиусу, т.е. , имеем

(5.29)

Эта же формула справедлива для продольного обмена.

Параметр , удовлетворяющий выражению (5.29), в теории полей принято называть циркуляцией вектора вдоль кругового контура и представлять в интегральной форме:

, (5.30)

где знаки - выражают отношение принятых направлений для циркуляции и тока.

Формула (5.30) описывает обмен и в цилиндрическом поле, т.е. при возникновении абсолютного волнового движения в пространстве базиса.

Линии обмена, как линии реального физического пространства, обычно криволинейны и в пределах конкретного обмена не пересекаются. О таких криволинейных линиях имеет смысл говорить, что они физически параллельны. Это естественное обобщение понятия параллельности прямых линий евклидовой геометрии на случай линий обмена, как физически параллельных линий (рис.3). Строго говоря, именно реальные физически параллельные криволинейные линии различной природы, включая берега рек и т.д., породили упрощенные идеализированные понятия прямых параллельных линий Евклида.

В пространстве взаимообмена противоположных элементарных частиц параллельные линии обмена пересекают плоскость симметрии S под прямым углом, поэтому можно утверждать, что из одной элементарной частицы, как физической точки, исходит к плоскости симметрии практически бесконечное число физических параллельных перпендикуляров пространства обмена (рис.3а).

В случае элементарных частиц-тавтологов обмен порождает множество физически параллельных линий к плоскости симметрии, исходящих из элементарных часитиц, как физических точек (рис.3b). Именно над возможностью пространства подобной геометрии задумался в свое время Лобачевский, но традиция прямолинейного евклидового мышления не позволила творцу неевклидовой геометрии обнаружить ее в реальной природе.

В областях близких к поверхностям мотаторов кинемы взаимообмена - бискалярные параметры, тогда как в вертикальной плоскости S - они бивекторные параметры, кроме того, они интегральные меры обмена. Таким образом, кинемы взаимообмена бискалярно-бивекторные параметры.

С античных времен у философов и математиков сложилось глубокое убеждение, что геометрия Евклида есть геометрия реального пространства, хотя она представляет собой лишь геометрию пустого воображаемого пространства с тремя взаимно перпендикулярными бесконечными осями координат. Эта геометрия стала основой практической архитектуры, строительных и технических конструкций, и она пронизывают всю человеческую деятельность.

Лобачевский понимал, что трудность геометрических "понятий увеличивается по мере их приближения к начальным истинам в природе; так же, как она возрастает в другом направлении, к той границе, куда стремится ум за новыми знаниями "[2, с.185]. Поэтому неудивительно, что геометрия Евклида была объективирована, и Лобачевский не смог отойти от этой традиции, однако, как гениальный математик, он сумел построить геометрию, физическим аналогом которого является пространство обмена мотаторов-тавтологов. "[2, с.185]

Лобачевский создал новую геометрию на основе идеологии "прямолинейного" мышления Евклида, и она, естественно, отличается от реальной геометрии поля обмена элементарных частиц-тавтологов. Если эту геометрию назвать Da-геометрией Лобачевского, то пространство обмена элементарных частиц-противоположностей можно назвать Net-геометрией Лобачевского.

В заключение рассмотрим еще взаимосвязь между волновыми массами надстройки и базиса.

Как известно, элементарное волновое смещение на уровне базиса, определяемое длиной волны, и круговое смещение, как смещение волновой надстройки, связаны элементарным равенством: . Отсюда следуют два важных соотношения между базисом и надстройкой волны:

, . (5.31)

Если с волновым лучом в одну волну или волновым радиусом связаны соответственно массы обмена и , то смещению круговому и амплитудному соответствуют массы:

, . (5.32)

Данным массам будут отвечать заряды надстройки и базиса, между которыми имеют место аналогичные соотношения:

, . (5.33)

Рассмотренные здесь понятия позволяют осознанно и конкретно воспринимать физику полей на основе законов диалектической теоретической философии.


К началу страницы
Назад
Предыдущая страница
Вперед
Следующая страница

Copyright © Л.Г.Крейдик , 2001-2005