Журнал теоретической диалектики-физики-математики http://www.dialectical-physics.org
Главная
Главная страница журнала
Содержание выпуска B-02
Содержание выпуска [B-02]
E-mail автора
E-mail (Леонид Георгиевич Крейдик): info@dialectical-physics.org
Назад
Предыдущая страница
Вперед
Следующая страница

11. Обобщенный обмен и законы сохранения-несохранения

Л. Г. Крейдик

Рассмотрим кинематический обмен между системой и окружающей средой на уровне покоя-движения (рис.2.15).

Рис.2.15. Граф обмена.

Пусть из внешней среды в систему поступает движение-покой, а в окружающую среду системой передается по кинетическому каналу количество движения-покоя и по потенциальному каналу величина покоя-движения . Если , тогда

, , (2.262)

где - параметр любого уровня движения, r - кинетическое сопротивление или кинетическая упругость, k - потенциальное сопротивление или потенциальная упругость, и - дифференциалы некоторых состояний. В общем случае сопротивления каналов обмена зависят от состояния системы, среды и характера каналов обмена; в линейном приближении они постоянны.

Обратные им величины g и C называем соответственно кинетической и потенциальной проводимостями.

Каждый из дифференциалов обмена по прямому каналу обмена и двум обратным определяет величину взаимообмена, равную разности парциальных составляющих обмена. Приращение покоя-движения системы равняется сумме обменов по трем каналам.

Таким образом, имеем:

. (2.263)

Отсюда приходим к уравнению обмена в виде

(2.264)

или

(2.264a)

или

. (2.264b)

Уравнение обмена есть одновременно и уравнение состояния системы.

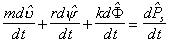
Запишем уравнения обмена-состояния для уровней , , и :

 

, , (2.265)

, (2.266)

или

, , (2.267)

, . (2.268)

В широком смысле слова первые слагаемые уравнений - кинетические импульсы, вторые и третьи - кинетические и потенциальные импульсы обратной связи со средой.

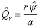
Если ввести обобщенные заряды:

, , , (2.269)

где - некоторая характеристическая длина, тогда уравнение - уровня на языке зарядов принимает вид:

(2.270)

Уравнение - уровня представится уравнением токов:

(2.271)

и, наконец, -уровень выразится уравнением:

. (2.272)

Если система замкнута по каналу (), она замкнута по всем выше расположенным каналам и в общем случае не замкнута по всем ниже расположенным каналам.

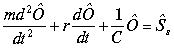
Энергетическое описание уровней , , и выражается так:

, (2.273)

, (2.274)

, (2.275)

. (2.276)

Если система замкнута по кинетическому каналу, т.е. , тогда энергии

, , (2.277)

, , (2.278)

сохраняются. Если же система незамкнута, то и в этом случае движение-покой сохраняются, но уже в границах системы и среды.


К началу страницы
Назад
Предыдущая страница
Вперед
Следующая страница

Copyright © Л.Г.Крейдик , 2001-2005