![]() |
|||||
10. Кинемодинамический обмен системы с окружающей средой. Заряды обмена
Л. Г. Крейдик
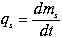
10.1 Обмен на
-уровне
Рассмотрим динамокинематический обмен некоторой системы с окружающей средой, представленный графом обмена (рис.2.13).

Рис.2.13 Граф обмена.
Кинематическое изменение импульса системы равно
, (2.236)
где
- парциальный кинематический импульс, поступающий из внешней среды;
- парциальный кинематический импульс, передаваемый системой внешней среде.
Динамическое изменение импульса системы составляет
, (2.237)
где
- парциальный динамический импульс, поступающий из внешней среды;
- парциальный динамический импульс, передаваемый системой внешней среде;
- скорость массы
;
- скорость системы;
- возможный дискретный скачок скорости.
Результирующий обмен принимает вид
(2.238)
и
----
, (2.239)
где
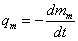
- кинема обмена движением-покоем,
и
- массовые динамические заряды.
Так как полная скорость изменения импульса равна
,
где
,
(2.240)
то выражение (2.239) можно записать в виде
(2.241)
или
, (2.241a)
где
и
-
дискретная производная, описывающая скачок скорости.
В установившемся динамическом обмене
,
, (2.242)
, (2.243)
где
- некоторая эффективная скорость, которую будем называть вектором напряженности
поля покоя-движения в динамическом обмене.
Когда доминирует динамический обмен, имеем:
. (2.244)
Эта формула справедлива и для кинематического обмена, если под q понимать модуль кинематического заряда.
10.2 Напряженности поля покоя-движения
На основании формул (2.184)-(2.186)
и (2.244) находим эффективные потенциальную
и кинетическую
скорости-напряженности поля кругового движения:
, (2.245)
. (2.246)
Осевая напряженность поля имеет вид
. (2.247)
Потенциальная напряженность описывает да-подполе, кинетическая напряженность - нет-подполе и осевая напряженность - да-нет-подполе кругового поля движения-покоя.
Если движение равномерное,
, (2.248)
, (2.249)
. (2.250)
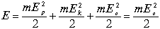
Полная энергия всех трех полей движения-покоя системы массой m равна:
. (2.251)
Структура данного поля покоя-движения представлена на рис.2.14

Рис.2.14. Граф энергии.
Движение материальной точки с
зарядом q по круговой орбите в поле
покоя-движения, характеризуемого векторами
,
и
,
может быть представлено в виде:
,
,
. (2.252)
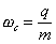
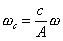
Такая структура поля справедлива на любом уровне движения-покоя. Так как отношение заряда к массе движущегося объекта (мотатора) определяет характеристическую или преобладающую или фундаментальную частоту поля
, (2.253)
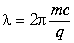
то фундаментальная длина волны поля будет равна
,
где с - волновая скорость поля. (2.254)
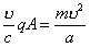
Эти равенства дополним элементарными отношениями между амплитудой колебания a , скоростью колебания u , длиной волны l и волновой скоростью c
или
, (2.255)
где
(2.256)
- волновой радиус.
Данные соотношения следует дополнить взаимосвязью между локальной Е и волновой А скоростями-напряженностями поля движения-покоя:
(2.257)
В частности, такое же соотношение имеет место между локальными и волновыми моментами заряда:
, (2.258)
где
- локальный момент и
волновой момент.
Очевидно, соотношение между локальным моментом заряда и волновым моментам импульса имеет вид:
(2.259)
На основании формулы (2.257) все три векторных уравнения движения (2.252) можно представить одним общим уравнением:
. (2.260)
Так как
и
,
то
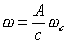
или
. (2.261)
Из данного соотношения видно, когда напряженность A приближается к волновой скорости c, удельная скорость w стремится к фундаментальной предельной частоте wc поля.
Copyright © Л.Г.Крейдик , 2001-2005