![]() |
Вперед |
||||
13. Импульсы информации
Л. Г. Крейдик
13.1 Введение
Объективное и субъективное время две фундаментальные грани
объективно-субъективной Вселенной, которые, не сохраняясь, сохраняются, ибо
частично переходят с одного уровня на другой, где, образно говоря, записываются
в виде временного файла прошедших событий. Надо полагать, такие файлы входят
в генетический код человека и всего сущего на Земле. Следуя этому, запишем оппозиту
некоторого процесса
на элементарную волну физического времени
. В результате такой процедуры получаем элементарный дифференциал импульса информации:
,
(2.309)
полную меру которого принимаем равной интегралу
. (2.310)
Импульс информации с точностью
до размерности представляет модулированную по амплитуде волну физического времени.
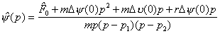
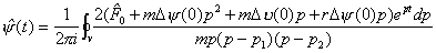
Если известен импульс информации
,
тогда согласно (1.199), оппозита
равна интегралу:
. (2.311)
Пространство удельных скоростей p - обратное временное пространство, в котором интегральная сумма дифференциалов обратного временного поля
![]()
определяет событие
прямого временного поля.
13.2. Обмен на языке импульсов информации
Обмен на языке информации в простейшем случае представляется уравнением:
. (2.312)
Если дискретность имеет место в начале обмена, кинематический обмен имеет вид:
(2.313)
Здесь первая компонента - непрерывная часть обмена, вторая указывает на ступенчатое дискретное включение мощности, третья и пятая описывает дискретный скачок смещения, и четвертая выражает скачок скорости. Начальное смещение и начальную скорость полагаем равными нулю.
Опираясь на (2.310) и принимая во внимание (2.313), запишем обмен (2.312) на языке импульсов информации:
. (2.314)
Отсюда находим информационный импульс смещения
, (2.315)
который позволяет определить оппозиту смещения с помощью (2.311).
Рассмотрим пока простое уравнение обмена:
, (2.316)
Перепишем его в виде уравнения информации:
. (2.317)
Отсюда находим информационный импульс скорости и скорость:
,
где
(2.318)
. (2.319)
Здесь множитель 2 указывает на
удвоение информации по сравнению с классическими методами расчета. В обычном
операционном анализе интегрирование проводится по всей полуплоскости удельных
скоростей, и при этом искусственно устраняется противоречивость процесса. В
нашем случае интегрирование охватывает четверть полуплоскости, что сохраняет
еще 50% информации, и она удваивается. Интеграл (2.319) определяется полуциркуляциями
в точках
и
:
(2.320)
В итоге имеем
. (2.321)
В современной математике
,
и поэтому оппозита описывает только движение. Но продольное кинетическое поле
связано с поперечным потенциальным полем и их скорости равны. Следовательно,
необходимо положить:
.
График скорости движения-покоя представлен на рис.2.16. Он, конечно, не выражает полной картины, так как здесь опущено продольное потенциальное поле.

Рис.2.16. Граф потенциально-кинетической скорости.
Если в (2.313) принять
,
состояние движения-покоя будет описываться информационным импульсом смещения
(2.315), который представим в виде:
(2.322)
где
,
,
и
,
причем
и
,
Исходя из (2.322) имеем:
. (2.323)
Интеграл равен сумме полуциркуляции
в точке
и полной циркуляции в точке
:
.
Выполнив элементарные преобразования, получим
, (2.324)
где
. (2.325)
Элементарное пространственное перемещение пропорционально физическому времени, поэтому и произвольные пространственные перемещения так же должны быть пропорциональны физическому времени.
В качестве коэффициента пропорциональности
принимаем некоторую постоянную скорость сравнения
,
тогда имеем:
. (2.326)
13.3. Информационный импульс времени
Рассмотрим теперь временной обмен (3.312). Пусть, например,
и
. (2.327)
Принимая во внимание (3.326) имеем
(2.328)
или
. (2.328a)
Переходя к информационному уравнению времени
, (2.329)
находим информационный импульс времени:
, (2.330)
где
.
Информационный импульс определяет временное поле:
.
(2.331)
Интеграл равен сумме полуциркуляции
в точке
и циркуляции в точке
:
![]()
.
В итоге получим:

(2.332)
Первая составляющая временного
поля - апериодическое затухающее время, вторая составляющая - затухающее периодическое
время. При условии
имеем апериодический резонанс времени.
Физическое время - это сложное идеальное многомерное поле времени, элементарная структура которого повторяет простейшую триаду поля покоя-движения, т.е. характеризуется продольным и поперечным временным полем покоя и продольным временным полем движения, причем кинетическое время изменяются со сдвигом фаз на 90° с продольным и синфазно с поперечным потенциальным временем.
Любое элементарное перемещение есть противоречивый процесс покоя-движения. И движение в нем выражает идеальное состояние покоя, его инобытие. В свою очередь, покой есть материальное состояние движения, его инобытие. Следовательно, физическое время - противоречивое материально-идеальное время, материальная грань которого представляется потенциальным временем, а идеальная грань - кинетическим временем.
Резюме
В данном журнале излагается элементарная диалектическая кинематика покоя-движения, которая в отличие от сложившейся классической традиции, рассматривает движение и покой в противоречивой неразделимой связи. Эта противоречивая связь выражается с помощью диалектического материально-идеального поля чисел и бинарной системы понятий. Каждая бинарная пара понятий описывает соответствующие стороны движения и покоя, давая возможность видеть и кинетическую и потенциальную сторону кинематики реальных процессов в их живом соединении.
Описание динамики также носит диалектический бинарный характер, и классическое силовое взаимодействие уступает место всеобщему обмену материей-пространством-временем, т.е. обмену движением, покоем, пространством, материей, произвольным состоянием и т.д.
В основе обмена и его описания лежат не законы Ньютона, а законы сохранения-несохранения (превращения) любых состояний и явлений Природы, в том числе и времени.
Диалектика покоя-движения рассматривает время как противоречивое потенциально-кинетическое поле времени. В необъятных просторах Вселенной в согласии с законом сохранения-несохранения непрерывно происходит превращение потенциального движения, т.е. покоя, в кинетическое движение или просто движение и наоборот. Причем, если покой выражает некоторую материальную сторону исследуемого объекта, то движение представляет его идеальную сторону, и в этом смысле потенциально-кинетическое время есть материально-идеальное время.
Во Вселенной на всех ее уровнях происходят переходы материального времени в идеальное и идеального в материальное, но общее количество времени остается неизменным: имеет место закон сохранения времени (наряду с законом несохранения или превращения времени). Таким образом, время, не сохраняясь, сохраняется и, сохраняясь, не сохраняется. В этом суть закона сохранения и превращения времени, как и других параметров действительности.
Описание физических процессов на основе бинарной диалектической системы понятий и законов сохранения-несохранения более эффективно, нежели средневековое силовое физиологическое описание с "чистыми" и "нечистыми" силами.
Диалектика в сравнении с метафизикой на порядки расширяет понимание явлений природы и позволяет сравнительно просто решать научные и технические задачи, которые традиционными методами решать трудно или невозможно.
Литература
1. И.В. Мещерский, Один частный случай задачи Гюльдена, Astronomishe Nachrichten, 1893, Vol. 132, № 3153, S. 9.
2. И.В. Мещерский, Работы по механике тел переменной массы, Госиздат технико-теоретической литературы, М., 1952.
Вперед |
Copyright © Л.Г.Крейдик , 2001-2005