![]() |
Next page |
||||
8. A Field of judgements of dialectical logic. Circulations and semi-circulations of dialectical judgements
L. G. Kreidik (translation from Russian T. S. Kortneva and G. P. Shpenkov)
8.1. Isotropic and anisotropic fields of judgements
Let a contradictory oppositus
describes an arbitrary field of affirmation
and negation
in the space of the argument
by the components of affirmation x and negation iy . Possible
partial derivatives of the opposite are as follows:
,
,
,
, (1.167)
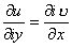
where the first and fourth derivatives are elements of the affirmation, and the second and the third derivatives are elements of the negation. The field of judgements at the point z will be referred to as isotropic, if the elements of affirmation and negation are equal:
,
. (1.167a)
If
,
, (1.167b)
the field of judgements at the point z is called anisotropic.
Equalities (1.167a), which are called the Cauchy-Riemann conditions in the theory of complex numbers, allow us to find the negation-affirmation derivative of the opposite S(z):
.
(1.168)
8.2. Lines of constant affirmation and negation
Curves that satisfy the conditions:
,
will be
called lines of constant affirmation and constant negation of the oppositus
S(z) in the space of the argument z (Fig. 1.14).
As lines of quantity and quality, etc., these lines are mutually orthogonal at isotropic points in the space of argument of the oppositus:
---------
.
(1.169)

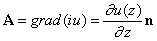
Fig. 1.14. A field of a judgement.
The vector
of
space rate of change of the affirmation
,
or the affirmation gradient, is directed along the tangents to the negation
lines:
,
(1.170)
where
is the change of the argument along the normal n to the affirmation
line.
The vector iB of space rate of change of the negation iv(z), or the gradient of the negation, is directed along the tangents to the affirmation lines:
,
(1.170a)
where
is the change of the argument along the normal
to the negation line.
Both vectors,
and
, define
one contradictory gradient of the affirmation-negation field
with the scalar measure determined by the formula
C=A + iB, (1.170b)
where A and B are the scalar measures (see (1.27)) of the vectors.
In the broad sense, the vector
of an affirmation-negation field is the vector of a judgement. Vectors
and
, scalar
measures C = A + iB and C = A — iB, oppositi-judgements
and
will be called
the conjugate vectors. Mutually conjugate vectors, scalars, oppositi, and, generally,
any measures of affirmation-negation if it necessary to note we will denote
as
and
, where
the symbol "*" is the sign of conjugation. It is evident that
.
Three directions characterize the vector of the affirmation-negation
field. The first direction, defined in terms of the vector
, is the direction of affirmation; the second direction, prescribed by the
vector
, is
the direction of negation; and the third direction of affirmation-negation or
the module direction of the vector
is defined by the vector
.
The first direction is quantitative, material, etc., whereas the second
direction is qualitative, ideal, etc.
8.3. Fluxes of a judgement vector of affirmation-negation
An elementary flux
of the affirmation-negation vector
through the vector of the elementary area
,
in a general case of the three-dimentional field, is equal to the longitudinally-transversal
scalar product
.
(1.171)
The meaning of the flux is determined by the contents of the
judgement vector
.
The space of the judgement field has the inside and outside of the boundary. The outside can be infinite and the inside is finite. The latter consists from quasispheric surfaces bounding the volumes or material points, in which motators are localized.
Let fluxes through the inside Sk and outside Sv surface of the field's boundary are equal in value and opposite in sign:
(1.172)
where k is the number of motator.
Then the judgement flux through the whole boundary of the field is zero,
.
(1.173)
These are the fields of closed exchange, consisting of unclosed fields of exchange of individual motators.
Local fluxes determine powers
of the motators generating the judgement fields:
.
(1.174)
Consequently, the judgement flux through the outside surface is equal to the sum of the motators' powers:
.
(1.175)
Directing the vectors of elementary areas of the inside surfaces into the space of the affirmation field, we have
.
(1.176)
8.4. A vector of a judgement ffux
The main dialectical types of elementary motators or monopoles of a judgement are:
a) monopoles of affirmative Yes (Yes>0) of the power +Q;
b) monopoles of negative Yes (Yes<0) of the power -Q;
c) monopoles of affirmative No (iNo>iO) of the power
;
d) monopoles of negative No (iNo<iO) of the power
;
e) contradictory monopoles of affirmation-negation (Yes+iNo) of the power
.
All these motators exist in the nature usually in the form of monopole systems of various degree of complexity.
If the judgement field is generated by a motator of a positive or negative affirmation, then, according to (1.176), the vector of judgements A at the point of the field, determined by the vector r, becomes
,
(1.177)
where Q is the scalar power of the motator of
affirmation or briefly, the scalar power of affirmation;
is a unit vector parallel to the vector
and
is a position
vector of the motator. Along with the scalar power of affirmation, we will operate
with the vector
power of affirmation, determining it by the vector
. Now the expression (1.177) can be written as
.
(1.177à)
If the field of judgements is generated by a motator of the
+No or —No negation with the scalar power of negation
,
the judgement vector of negation is
,
(1.178)
where
is a unit vector that perpendicular to the vector
,
the direction of the vector
is determined by the field of the negation motator.
Introducing the vector of the power of negation
,
we will have
.
(1.178a)
Combining both vectors, we will have one contradictory affirmation-negation vector or briefly, the vector of affirmation-negation
,
(1.179)
where
(1.179a)
is the vector of the affirmation-negation power.
The contradictory affirmation-negation vectors are simultaneously the judgement flux vectors or briefly, the flux vectors, definable by powers of motators.
If vectors
and
are
directed uniformly, the vector Q of affirmation-negation power is
,
(1.179b)
where
is the
scalar power of affirmation-negation.
Two motators with powers, equal in value and opposite in sign, located at one material point form a dipole which defines approximately the judgement flux vector
,
(1.180)
where
is
the vector of dipole power.
A set of n dipoles or a 2n-pole generates the field described approximately by the judgement vector
,
(1.181)
where
is the vector of 2n-pole power;
.
The volumes of motators are finite, therefore
,
where
is
the effective radius that determines the sphere of the interior boundary of
the field, in the space of which the motator is localized.
It is evident that a flux of the 2n-pole vector through the outside boundary is zero because every dipole is characterized by two powers equal in value and opposite in sign.
In a general case the judgements flux vector of a complex system of motators can be described approximately by the series:
,
(1.182)
where
is the vector constants of the judgement fields;
is the coefficient of the spherical symmetry;
,
is powers of
multipoles in point
and
.
The first sum in (1.182) describes the influx-outflow of the
judgement field at the points determined by vectors
.
The flux C of the judgements vector through the outside of the field
boundary is determined only by the second sum since the first and second sums
give a zero flux.
If the space of the judgement field is cylindrical and the affirmation-negation lines lie in parallel planes, it seems reasonable to analyze the judgement fields in cylindrical domains of a small height dh (Fig. 1.15).

Fig. 1.15. An elementary domain of a cylindrical field of judgements.
Then, equality (1.175) becomes
,
(1.183)
where
is the linear density of the flux which will be called also the linear flux
or briefly, the flux.
Introducing the linear power
,
we will obtain the linear density of the judgement flux through the outside
contour of the boundary
,
(1.183)
where
is a linear power of the k-th motator.
Integration over the outside contour of the boundary is performed counterclockwise and the integration over the inside contours of the boundary g k is clockwise.
According to (1.183) the vector of the flux of a cylindrical field of the motator is equal to
,
(1.184)
where
is
the linear vector density of the affirmation-negation power.
A set of n dipoles or a 2n-pole generates a cylindrical field with the judgement flux vector equal to
.
(1.185)
In planes of a cylindrical field of affirmation and negation
lines, the coordinate axises x and y will be described, respectively,
by the affirmation and negation algebra and any point of the plane is determined
by
.
Description of a judgement field is considerably simplified
if the longitudinally-transverse scalar product, determining the linear scalar
flow
, will
be represented in the following way:
,
(1.186)
where
;
is a conjugate scalar measure of the flux vector
.
It is convenient, in many cases, a complex set of motators represent by the flux vector in the following form:
,
(1.187)
where
are constants of the field of judgements;
is the coefficient of circular symmetry of the field of an elementary linear
motator;
are
powers of exchange of motators-monopoles;
are powers of exchange of complex motators-monopoles;
.
It is evident that for any oppositus represented by series (1.187) the formula is valid
,
(1.188)
where
is
the power of exchange of motators-monoles.
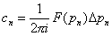
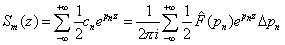
8.5. The integral representation of judgements
Motators are sources of space-time relations and fields of exchange. In a general case exchange is the complex process of exchange between motion and rest, mass and space, information etc.
The field of exchange is exchange in space and time going on between the motators. The space of localization of a motator is the particular domain of the space of the exchange field or the particular material point of this exchange field. The space of the particular point is the exterior space of the field of exchange.
The fields of exchange as aperiodically-periodical contradictory processes are described by the infinite series of the affirmation-negation elementary oppositi:
,
(1.189)
were
is
the generalized frequency of affirmation-negation;
,
; L is the
periodic component of the judgement and
.
Using the integral
![]()
and the differential of the parameter
:
,
we have
,
(1.190)
where
.
(1.191)
Thus, series (1.189) is expressed by the indiscrete integral
.
(1.192)
If
the indiscrete sum becomes continuous
,
(1.193)
where
.
(1.194)
Integrand expression
represents the elementary wave
modulated
in accordance with the amplitude by an oppositus-judgement
.
In this sense, the integrand expression is the elementary wave of a judgement
carrying
in the space of an argument z the differential pulse of information or
briefly, the differential information of an oppositus. For this reason, the
elementary wave of a judgement we can call the information wave.
Electromagnetic waves modulated in accordance with an amplitude, carrying the specific information, are the analog of it.
In that case, the oppositus
,
as sum of elementary waves of the judgement, is the integral information
or the integral pulse.
If the information wave becomes zero on the outside infinite boundary of the affirmation-negation field, that is quite natural for real processes, integral (1.193) will be equal to the integral over the closed contour of the outside boundary of the field of the argument p (Fig. 1.16).
Fig. 1.16. An intrinsic domain V of the field
of the argument p limited by vertical sk and horizontal
beams and by the
infinitely far boundary
;
are the intrinsic
boundaries-circles of localization of motators;
are the intrinsic boundaries-circles of motators situated on the axis s
.
Since the judgement fluxes of the information pulse through the outside and inside boundaries of the judgement field should be equal, the integral over the outside boundary of the field is determined by the powers of motators:
.
(1.195)
Let us consider the conjugate oppositi
---
.
The half-sum of them is equil to their affirmation component u
.
The component of affirmation can be written as
-------
,
(1.196)
where
,
,
,
.
For
we have
--------
,
(1.197)
where
------
.
(1.198)
Function F(p) is the Laplace transform of the affirmation component of the oppositus. With the affirmation component of the transform F(p), which is half as large as the affirmation-negation transform, we can determine the complete oppositus by the formula
-------
,
(1.199)
Here, the first sum in brackets is the sum of semi-circulations
and the
second sum is the sum of full circulations
.
Resume
In this issue [B-01] the bases the differentially integral logic and philosophy of physical processes, both continuous and discontinuous are considered. This system is named as the dialectical analysis, or dialectics, as the series of its axioms belongs to Hegel's dialectical phylosophy and logic. As a special case, Hegel's dialectics includes Aristotle's logic and metaphysics.
Methods of dialectical analysis possess the broad conceptual and mathematical apparatus which contains both classical derivatives of continuous processes and discrete derivatives of discrete processes.
The mathematical basis of dialectics is the quantitatively qualitative numerucal field, which includes, as a specific and very limited case, the field of complex numbers. The quantitatively qualitative numerical field is more genuine and obvious than the field of complex numbers. In the definite sense, the numerical field is analogous to the electromagnetic field.
The numerical field of dialectics and its logical apparatus make it possible to describe and solve many problems in the simplest and most comprehensive way, such as-: physical, technical, technological and those which could not be solved by classical analysis.
The field of quantitatively qualitative numbers allows us to consider two principal types of continuity and discreteness: additive and multiplicative. Therefore, this field considers both the classical differentials, derivatives, and
integrals of continuous sums and the multiplicative differentials, derivatives, and integrals of continuous products. Although the multiplicative differentially integral calculus can be expressed by the classical additive differentially integral calculus, the two calculuses differ in principle. The multiplicative calculus allows us to see a great many facts which would be impossible to find by the classical additive calculus.
The logical algebra of dialectics operates discontinuous, continuous and discontinuously continuous judgements, whereas the mathematical logic is based on two elementary constant judgements with measures 1 and 0. This means that dialectical analysis makes it possible in principle to develop new structures of microprocessors and effective methods of computer programming. They will allow us to adequately model (describe) intellectual processes first of all on the intuitive level where the logic of thinking is most effective. Note that the laws of the intuitive level of thinking are concerned with the level of the Universe.
The fields of quantitatively qualitative differentially integral judgements and numbers are the "Physics" of logical thinking, i.e. the mathematical image of real logical processes. Therefore, without dialectical analysis, it is impossible to create an artificial intellect in the deep sense of the word. It is also impossible to make the essential theoretical and practical progress for understanding of the atomic and elementary particles structure where superhigh frequencies and vast speeds play a role.
REFERENCES
1. B.A. Rybakov, Russian Systems of Uniits in the 11-15th Centuries, Sov.Etnogr., No.l, 1949 (Russian).
2. S.N. Orlov, On the Anicient Russian Metrology, Sov. Etnogr., No.l, 1957 (Russian).
3. P.G. Butkov, Explanation of Old Russian Measures, Zh. Minist. Vnutr. Del, No.ll, 1844 (Russian).
4. M. Matinskii, Description of Measures and Weights of Different Nations, St. Petersburg, 1779 (Russian).
5. F. Massalskii, Comparative Tables of All Known Coins, Measures and Weights, St. Petersburg, 1834 (Russian).
6. F.I. Petrushevskii, General Metrology, St. Petersburg, 1849 (Russian).
7. A.P. Pronshtein, The Use of Auxilliary Historic Disciplines in the Work with Literary Sources, Moscow Univ. Press, 1967(Russian).
8. A. L. Mongait, Novgorod Balance Weights, Kratkie Soobshchen. Inst. Istor. Material. Kultury, No. 11, 1951(Russian).
9. V. Ya. Yanin, Monetary and Weight Systems in the Middle Ages in Russia. Pre-Mongol Period. Moscow Univ. Press, 1956 (Russian).
10. A. F. Dubinin, Troitskoie, An Ancient Town Near Moscow, Sov. Arkhieol., No. 1, 1964 (Russian).
11. A. F. Medvedev, On Novgorod silver grivnas. Sov. Arkheol. , No. 1, 1963 (Russian).
12. I.I. Kaufman, Russian Weights, their Origin and Development, St. Petersburg, 1906 (Russian).
13. I.P. Sakharov, Money of Moscov Independent Principalities, Zapiski Otdel. Russ. i Slav. Arkheol. Imperat. Arkheol. Obshchestva, Vol.1, St. Petersburg, 1851 (Russian).
14. I.I. Edomakha, Findings of One-Pole Boats in the Desna, Sov. Azkheol, No. 1, 1964 (Russian).
15. M.P. Sotnikova, Epigraphies of Silver Pay Bars in Novgorod, - Trudy Gos. Ermitazha. Numizmatika, Vol. 4, No.2, 1961(Russian).
16. V.A Sokolov, L.M.Krasavin, Reference Book of Measures, Vneshtorg-izdat, Moscow, 1960 (Russian).
17. N.A. Shost'in, Essays on the History of Russian Metrology , Izd. Standart, Moscow 1990 (Russian).
18. V.M. Den'bug, V.G. Smirnov, Units of Quantities. Izd. Standart, Moscow, 1990 (Russian) .
19. HJ. Chancy, Our Weights and Measures, London, 1897, p. 16.
20. H.W. Chisholm, On the Science of Weighting and Measuring and Standards of Measure and Weight, London., 1923.
21. A. de Gandole, Origin of Cultivated Plants. Reprint, 2nd (1886) ed., Noble Offset Printers, New York, 1959, p.458.
22. P.S. Erygin and N.S. Natal'ina, eds, Rice , Moscow, Kolos Publ., 1968 (Russian).
23. D.F. Houston, ed., Rice, Chemistry and Technology, American Association of Cereal Chemists, Inc., St.Paul, Minnesota, 1972.
Next page |
Copyright © L.G. Kreidik , 2001-2005