Журнал теоретической диалектики-физики-математики http://www.dialectical-physics.org
Главная
Главная страница журнала
Содержание выпуска A-02
Содержание выпуска [A-02]
E-mail автора
E-mail (Леонид Георгиевич Крейдик): info@dialectical-physics.org
Назад
Предыдущая страница
Вперед
Следующая страница

18. Фундаментальные меры электрона и H-атома. "Электростатическая" и "гравитационная" частоты субатомного поля материи-пространства-времени

Л. Г. Крейдик

Объективные меры дают обширную информацию о микромире, которую невозможно получить на основе псевдомер, поэтому наше описание процессов обмена будет следовать системе QuRGCS.

Начнем анализ параметров микромира с заряда электрона, о котором современная электродинамика и квантовая механика абстракционизма ничего не может сказать, называя его "электрическим зарядом", т.е. буквально "янтарным зарядом", не отражающим содержание понятия.

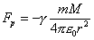
Согласно данным атомной физики мера заряда электрона, рожденная ошибками теории электромагнетизма, принимается равной:

. (18.1)

Данная мера есть псевдомера, но она содержит в себе объективную меру заряда электрона:

. (18.1а)

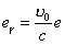
Если выражать заряд электрона также и в объективных метрических и неметрических кулонах, то

. (18.2)

Метрический кулон не меняет объективной меры заряда электрона, тогда как объективный неметрический кулон ее изменяет, что совершенно недопустимо в диалектической физике, описывающей объективный мир, ибо это вносит изменение в собственную меру заряда электрона. Неметрическая объективная мера заряда электрона численно равна его мере, выраженной в кулонах с псевдомерой.

Зная верную меру заряда электрона, находим фундаментальную частоту обмена электрона и окружающего поля материи-пространства-времени и волновое число субатомного уровня обмена:

, . (18.3)

где - масса электрона.

Отношение (18.3) позволяет утверждать, что электростатическое поле - математический миф, который скрывает за абсурдными мерами электродинамики Максвелла реальное волновое эксачастотное поле субатомного уровня материи-пространства-времени.

Экспериментально определить такую частоту невозможно, но она рождает фундаментальную волну материи-пространства-времени с волновым радиусом, определяющим средний "атомный" радиус:

, (18.4)

и диаметр, задающий среднее расстояние между узлами-дискретностями пространства базиса-надстройки субатомного уровня материи-пространства-времени:

, (18.)

Волновой радиус (18.4) определяет также первую волновую оболочку электронного поля надстройки H-атома и фундаментальную волновую оболочку электрона эксачастотной области.

Волны данного уровня давно были обнаружены экспериментальной физикой, но квантовая механика поспешила их объявить волнами вероятности на основе идеологии вероятностного хаоса, что абсолютно неверно.

Точное описание волнового обмена на основе дифференциального уравнения обмена, как мы знаем, приводит к формуле массы обмена элементарных частиц сферической структуры:

. (18.5)

При условии

(18.5а)

формула (18.5) переходит в формулу массы, полученную элементарным образом:

. (18.5b)

Полагая собственную массу электрона равной нулю, а радиус электронной сферы удовлетворяющим условию (18.5а), находим его действительный радиус:

. (18.6)

Зная фундаментальную частоту поля (18.3) и радиус электронной сферы (18.6), вычисляем скорость-напряженность у поверхности характеристической электронной сферы:

. (18.7)

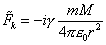
Эти же параметры определяют и теоретический заряд электрона, равный его действительной мере:

. (18.8)

На экваторе электронной сферы возникают волновые процессы, и среди них элементарное волновое образование с длиной волны основного тона, полуволна которого охватывает экватор сферы, формируя на нем только один потенциальный узел-дискретность. Длина азимутальной волны основного тона в два раза больше экваториальной окружности:

. (18.9)

Азимутальная волна основного тона электрона порождает свое отрицание - радиальную волну основного тона такой же величины.

Колебания на уровне надстройки со скоростью u характеризуются волнами надстройки и амплитудами смещения, соответствующими волне базиса и ее радиусу:

, . (18.10)

При образовании радиальной волны центр масс электрона осциллирует в волновом пространстве с максимальной радиальной амплитудой, равной полуволне:

. (18.11)

Радиальная амплитуда определяет среднее смещение центра масс электрона:

, (18.12)

так что полный радиус первой радиальной волновой внешней сферы электронного поля с учетом смещения его центра масс будет определяться выражением:

. (18.13)

Объекту микромира радиуса (18.13) отвечает масса обмена:

. (18.14)

Данная масса обмена относится к интервалу масс ионизированного H-атома, называемого протоном.

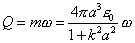
Отношение грамма к массе протона (18.14) выражает его абсолютную меру:

, (18.15)

Абсолютную меру грамма можно определять и обратной массой протона

. (18.16)

Если к массе обмена (18.14) добавить еще обменную массу электрона, будем иметь

. (18.17)

Величина этой массы представляет собой одну из возможных масс обмена H-атома, называемого также нейтроном.

Если же принять массу равной среднему стандартному значению массы "протона" , тогда формула (18.14) определяет радиус характеристической сферы ионизированного H-атома: .

Сравнивая данный радиус H-сферы и радиус (18.13) видим, что они почти совпадают. И это не случайно: оба волновых поля электрона и ионизированного H-атома должны находится в резонансной связи, и они находятся в такой связи.

Итак, радиус есть одновременно и радиус H-атома (протона), который незначительно отличается от радиуса Бора . Если же в качестве средней массы H-атома взять атомную единицу массы

, (18.17а)

то средний радиус H-атома будет равен:

. (18.18)

До сих пор мы рассматривали по существу электрон в абсолютном покое, и теперь рассмотрим параметры электрона в абсолютном движении, когда его траектория представляется цилиндрической волной-линией пространства субатомного уровня.

Согласно (13.10), в движении элементарная связь электрона с окружающим полем субатомного уровня может быть описана кинемой поперечного обмена:

. (18.19)

Если принять , то , и мера активного заряда обмена будет такой:

, (18.20)

где - реактивный заряд обмена со структурой вида:

. (18.21)

Во всех процессах обмена электрон есть одновременно сферический электрический скалярный и цилиндрический векторный магнитный "монополь". Он квант продольно-поперечного сферически-цилиндрического "электромагнитного" поля субатомного уровня материи-пространства-времени, причем электрический заряд e - квант сферического поля, а магнитный заряд - квант цилиндрического поля.

Электрическое и магнитное поля представляют собой подполя единого сферическо-цилиндрического поля субатомного уровня материи-пространства-времени.

Если считать, что электрон и H-атом относятся к одному центральному полю обмена материей-пространством-временем, то в его поперечном поле третий закон Кеплера (15.18) объединяет воедино кинематические параметры электронной сферы и первой орбиты H-атома, или оболочки Бора:

, (18.22)

где - радиус Бора и - боровская скорость.

Простой расчет показывает, что соотношение (18.22) точно выполняется, поэтому можно утверждать, что H-атом, с именами нейтрон, протон, и электрон есть структуры одного общего поля.

Формула (18.21) дает основание утверждать, что у H-атома должно существовать ядрышко размером с электрон, которое, как внутренний электрон, противоположно по своим свойствам внешнему орбитальному электрону. Такое ядрышко, скорее всего и есть позитрон, образующий вместе с электроном противоположные структуры Da-Net.

Так как внутреннее пространство H-атома есть пространство Антивселенной, то позитрон следует относить к частицам Антивселенной.

Если H-атом способен сбрасывать с себя все оболочки вплоть до ядрышка-позитрона, он может превращаться в позитрон.

Электрон на первой орбите H-атома характеризуется орбитальным моментом массы и орбитальными моментами центрального и поперечного зарядов:

, , . (18.23)

Если в формуле (18.20) полагать , то магнитный заряд электрона будет выражаться мерой

, (18.24)

где - циркуляционный заряд электрона. Магнитный заряд электрона (18.24) определяет поперечный "магнитный" орбитальный момент электрона:

. (18.25)

Наличие поперечного "магнитного "заряда у электрона, как поперечного "магнитного" монополя, связано с поперечным обменом, который представляется кинемой Лоренца:

. (18.26)

Отношение магнитного орбитального момента к моменту импульса электрона на орбите Бора выражается отношением

. (18.27)

Данное отношение равно фундаментальному волновому числу поля субатомного уровня материи-пространства-времени.

Физические эксперименты подтверждают отношение (18.27) и отвергают теоретические ошибки физики в определении магнитного момента электрона на орбите с мерами вида:

, . (18.28)

Как известно, данные формулы создавались механическим мышлением, весьма далеким от реальной картины процесса, и получили название магнетонов Бора.

Вместо поиска ошибок в теории, был предложен, согласно кустарному принципу проб и ошибок, самый простой выход из положения: электрону приписали ложные меры "спинового" и "магнитного" моментов:

, . (18.29)

На основании псевдомер (18.28) "теория" отношения "полного" магнитного момента к моменту импульса электрона на орбите приняла "правильный" вид:

. (18.30)

Таким образом, объективное отношение (18.27), подтверждаемое экспериментально, представили субъективным теоретически ошибочным отношением с двумя принципиальными ошибками, в виде двух несуществующих моментов и , которые "согласовали" "теорию" и "эксперимент". Так родился модный спиновый миф, получивший широкое распространение, и быстро стали рождаться частицы с "целым" и "полуцелым" спином. Эта спиномания, к сожалению, продолжается и сегодня.

Орбитальный магнитный момент электрона (18.25) можно представить еще так

, (18.31)

где

(18.32)

орбитальный момент импульса, причем - угловая скорость (круговая частота обращения электрона на орбите) и - момент инерции электрона на орбите.

Мера магнитного орбитального момента с использованием объективного метрического тесла остается одной и той же объективной мерой

. (18.33)

Если использовать неметрический тесла, получаем искаженную меру магнитного момента электронной оболочки H-атома:

. (18.33a)

 

18. Гравитационная оболочка электрона

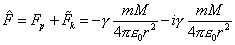
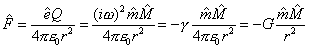
Принимая во внимание связь между зарядом и массой, представим закон обмена в "гравитационной форме":

(18.1)

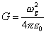
где

и (18.2)

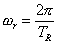
- постоянная "гравитации", позволяющая определить циклическую частоту "гравитационного" обмена на мегауровне:

, (18.3)

если принять

. (18.)

Закон обмена в подвижном базисе на основе масс принимает вид

, (18.1а)

где

(18.1а)

- кинема потенциального продольного обмена покоем и

(18.1а)

- кинема кинетического поперечного обмена движением, которое представляется планетарным движением в солнечной системе.

Таким образом, “гравитационное поле” есть продольно-поперечное волновое поле материи-пространства-времени сверхнизких частот субатомного уровня.

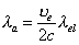
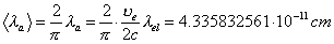
Суточный период обращения Земли вокруг своей оси, как временная поперечная полуволна основного тона, характеризуется своим радиальным периодом :

. (18.5)

Так как жизнь Разума реализована на Земле, то положение Земли особое, и она должна находится в резонансном состоянии с продольно-поперечным полем Космоса, а потому циклическая гравитационная частота и земной радиальный период должны быть взаимосвязаны:

. (18.6)

Данное отношение определяет гравитационную постоянную основного тона, значение которой незначительно отличается от экспериментальной величины:

, где . (18.7)

Гравитационная частота определяет характеристический гравитационный радиус электрона

, (18.8)

и его гравитационную оболочку, которая представлена в солнечной системе в виде солнечного кольца малых планет-астероидов.

Подводя краткий итог, представим сравнительную информационную таблицу анализа объективных параметров электрона и связанного с ним субатомного поля с представлениями метафизики:

 

Метафизическая физика

на основе формальной логики

 

Диалектическая физика

на основе диалектической логики

1. Электростатическое поле - постоянное во времени "электрическое" поле - неверно

1."Электростатическое" поле есть волновое поле эксачастотной области субатомного поля материи-пространства-времени - верно

2. Формула массы частиц сферической структуры

Æ

2. Формула присоединенной массы частиц сферической структуры

- верно

3. Псевдозаряд электрона:

,

- неверно

3. Объективный центральный (электрический) заряд электрона:

,

- верно

4. Гипотетический заряд

сферической структуры -

монополь Дирака - неверно

Æ

4. Объективный поперечный

(магнитный) заряд

электрона на боровской орбите

- верно

4. Магнитный орбитальный момент

электрона

(механическое движение шарика):

- неверно

5. Магнитный орбитальный момент

электрона

,

- верно

6. Удельный заряд электрона

(псевдомера):

- неверно

6. Фундаментальная частота поля:

- верно

7. Ноль информации:

Æ

7. Фундаментальный волновой

радиус:

- верно

8. Масса электрона

- верно

8. Полевая присоединенная масса

электрона

- верно

9. "Классический" радиус электрона:

- неверно

9. Радиус электрона:

- верно

10. Ноль информации:

Æ

  1. Волна основного тона электрона:

- верно

11. Электроемкость электрона:

Æ

11.Электроемкость электрона:

,

- верно

12.Индуктивность электрона:

Æ

12. Индуктивность электрона:

,

- верно

13. Размер нейтрона “очень маленький”, поэтому он помещается в “ядре” размером порядка

- неверно

13. Средний радиус волнового собственного

пространства H-атома

(протона, нейтрона):

- верно

14.Структура гравитационной постоянной

Æ

14.Структура гравитационной постоянной

- верно

15. Гравитационное поле - центральное поле

- неверно

15. Гравитационное центрально-поперечное поле

- верно

16. Гравитационный радиус электрона

Æ

16. Гравитационный радиус электрона

- верно


К началу страницы
Назад
Предыдущая страница
Вперед
Следующая страница

Copyright © Л.Г.Крейдик , 2001-2005