![]() |
|||||
11. Элементы теории продольно-поперечного и центрального обмена на уровне надстройки в интегральной форме.Квантово-волновая структура параметров обмена. Ошибки электродинамики
Л. Г. Крейдик
В предыдущем параграфе мы познакомились с уравнениями продольно-поперечного обмена поля базиса, и теперь можем обсудить аналогичные уравнения поля надстройки, т.е. уравнения, которые относятся к атомному уровню с базисной атомной H-единицей, или самым элементарным мотатором этого уровня - атомом водорода, который также будем называть водородной единицей. Как известно, еще в 1815 г. Праут, сравнивая плотности ряда газов с плотностью водорода, пришел к выводу, что атомной единицей следует считать H-единицу. В последствии H-единицу, для создания видимости новых взглядов на атом, стали называть протоном, хотя это ион H-атома, а нейтральному H-атому присвоили еще один синоним - нейтрон.
Эти лингвистические упражнения нужны для того, чтобы забыть Праута, и поэтому сегодня самая модная теория атома - это протонно-нейтронная, или в переводе с дипломатического языка науки, водородно-водородная теория. Однако двойное повторение одного и того же слова ничего не прибавляет к тому, что высказал Праут почти двести лет тому назад.
Остается сказать, что современные теории атома фактически строятся на водородном атомном кванте, что подтверждает формула массы атомов и молекул:
, (11.1)
где А - целое число H-единиц,
или массовое число, и
- средняя масса атома водорода- кванта на основе изотопа атома углерода с массовым
числом 12.
Независимо от теорий, данная формула однозначно указывает, что Н-атом есть волновой квант массы атомной и молекулярной надстройки над базисом.
Немного об авторе водородной модели атомов. Уильям (Вильям) Праут (W. Prout, 1785-1850) - английский химик и биохимик, чл. Лондонского королевского общества с 1819, окончил Эдинбургский ун-т в 1811 г., где получил медицинское образование. В 1815 году высказал предположение, что все атомные массы кратны атомной массе водорода и что последний есть тот протил, или первоматерия древних, из которого построено вещество [3, p. 321]. Это была первая гипотеза, предполагающая сложное строение атомов и утверждающая, что все атомы образовались из атомов водорода. Праут писал: "Если взгляды, которые мы решились высказать, правильны, то мы почти можем считать первичную материю древних воплощенной в водороде... Я часто наблюдал близкое приближение весов атомов к целым числам" [4].
Именно на этом уровне мы обрисуем
цилиндрическое поле надстройки, которое характеризуется волновой скоростью покоя-движения
.
В качестве поля надстройки можно взять, например, цилиндрическое медное поле материи-пространства-времени в виде "медного провода" (рис.6).
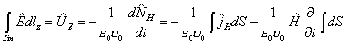
На уровне надстройки, уравнение (10.17) на основе вектора Е принимает вид:
,
(11.2)
где
- циркуляция вектора E вдоль некоторой криволинейной оси Z, символизирующей
осевую линию Lin цилиндрического
пространства надстройки, которая в данном случае представляется медным пространством
круглого сечения, и эта линия не обязательно должна быть замкнутой.
Данное уравнение выражает закон Ома участка пространства осевого поля:
, (11.2а)
где
- циркуляция, взятая с обратным знаком.
Элементарное сопротивление
поля надстройки участка пространства длиной в полуволну
и поперечным сечением
выражается равенствами:
. (11.3)

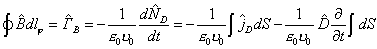
Рис.6. а)
Контур замкнутого обмена с источником U;
- продольное поле обмена и
- поперечное поле обмена; b) U
- продольная циркуляция вектора D,
-
заштрихованный элемент цилиндрической поверхности циркуляции:![]()
Таким образом, элементарное сопротивление поля надстройки носит одновременно квантовый и волновой характер, т.е. дискретно-кретный, или прерывно-непрерывный характер: оно, с одной стороны, - квантовое сопротивление, с другой стороны, - волновое сопротивление. Параметр r называем удельным сопротивлением пространства надстройки, которое определяется отношением
. (11.3а)
Очевидно, удельное сопротивление также носит бинарный диалектический характер: оно квантовое удельное сопротивление, и оно же волновое удельное сопротивление. На макроуровне дискретность волнового сопротивления надстройки скрывают ее макрозначения:
. (11.3b)
Так как в волновых процессах
, (11.4)
то удельное сопротивление надстройки можно представить еще в виде
, (11.5)
где
- заряд элементарного волнового кванта обмена, связанный с элементарной волновой
массой
.
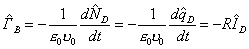
Обратимся теперь к поперечной составляющей поля надстройки на основе вектора напряженности поперечного поля B:
,
(11.6)
или
.
(11.6а)
Это же уравнение можно представить еще в виде:
, (11.6b)
где индуктивность поля надстройки квантово-волновой структуры
. (11.7)
Как известно, циркуляция
в теории электромагнетизма называется "электродвижущей силой индукции". И как
тут не вспомнить Ф. Энгельса, который отмечал, когда физики чего-то не понимают,
они вводят "силу" - это самый простой и примитивный способ уйти от серьезного
научного анализа, и он лежит у основания механической картины Мира, т.е. картины
"силовой".
Введем противоположную по знаку
циркуляцию:
,
тогда уравнения (11.6а) и (11.6b) можно
записать так:
.
(11.8)
, (11.8a)
Элементарной динамической
емкости поля базиса
отвечает элементарная емкость поля надстройки квантово-волновой структуры:
. (11.9)
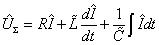
Оба закона Ома надстройки (11.1а) и (11.8) образуют единый закон электромагнитного поля надстройки Ома:
, (11.10)
где
- "электромагнитный" заряд надстройки.
Если контур неоднороден и его
элементы представлены напряжениями с сосредоточенными участками, в которых преобладают
последовательно свойства R ,
и
,
тогда закон Ома принимает вид:
,
или
(11.11)
Ознакомившись в общих чертах с диалектикой продольно-поперечного обмена, вернемся к уравнению (10.1).
Если не различать параметры
и I, можно записать неверное отношение:
. (11.12)
В теории Максвелла соотношение (11.12) имеет вид
, (11.12а)
где мы в скобках отмечаем недопустимое смешение понятий, породившее целую серию псевдомер единиц SI.
Герц в 1890 г. писал, поскольку рассуждения и подсчеты Максвелла полны ошибок, которые мы не можем устранить, то остается шесть уравнений Максвелла принять за исходную гипотезу, как постулаты. "Главное в теории Максвелла - это уравнения Максвелла", - утверждал Герц [5, с.286].
"Ток" (на самом деле циркуляция вектора H) принято в метрологии называть током в "магнитной (магической) системе единиц CGSM".
Если условится циркуляцию обмена
Г в "электрической (янтарной) системе единиц" обозначить малой буквой
i и назвать "электрическим" током,
получим соотношение между псевдотоком
и фактическим током:
или
. (11.13)
К этому следует добавить соотношение (5.25) между плотностью массообмена обмена g, или "циркуляционным" зарядом, и зарядом обмена:
,
или
. (11.13a)
Заряд циркуляции g получил в метрологии название "электрического заряда в магнитной системе".
Многие физики и метрологи понимали подобную абсурдную двойственность. По этому поводу С. Ф. Маликов писал: "отношение единиц электромагнитной системы к соответствующим единицам электростатической системы выражается не отвлеченным числом, а именованным, а это должно означать, что эти единицы, если судить по формулам размерности, относятся к различным физическим величинам. Отсюда приходится делать вывод, что величины электромагнитной системы и одноименные величины электростатической системы суть различные величины" [6, с.34].
Многие пытались выйти из замкнутого круга ошибок: например, в 1951 г. Гёр и Ланге предложили считать заряд плотности обмена g - "электромагнитным количеством электричества" в движении, а заряд обмена q - "электростатическим количеством электричества" в покое, которые связаны отношением (7.22) [7, S.59].
Валлот, касаясь подобной вольной фантазии, замечал с иронией: "в какой момент покоящийся заряд, переходя в движение, резко меняет свою размерность (и, следовательно, физическую природу): в самом начале движения или при более высокой скорости, вероятно при критической? Непрерывный переход едва ли возможен" [8].
Все эти ошибки вынудили ввести четвертую "основную" единицу субатомного поля обмена - ампер, который формально позволил спрятать теоретические просчеты, но одновременно и запутать электродинамику.
Copyright © Л.Г.Крейдик , 2001-2005